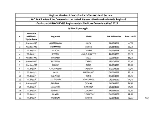
Home » Offerte di lavoro e graduatorie Cartella Offerte di lavoro e graduatorie Home » Offerte di lavoro e graduatorie » 1 MMG Grad PROVVISORIA 2025 PUNTEGGIO PRIVACY pdf 1 MMG Grad PROVVISORIA 2025 PUNTEGGIO PRIVACY Pubblicato il 30 Settembre 2024 Di presidenza omceo 500 download Scarica (pdf, 428 KB) 1. MMG_Grad PROVVISORIA 2025_PUNTEGGIO_PRIVACY.pdf Home » Offerte di lavoro e graduatorie » 1 PLS Grad PROVVISORIA 2025 PUNTEGGIO PRIVACY pdf 1 PLS Grad PROVVISORIA 2025 PUNTEGGIO PRIVACY Pubblicato il 30 Settembre 2024 Di presidenza omceo 528 download Scarica (pdf, 415 KB) 1. PLS_Grad PROVVISORIA 2025_PUNTEGGIO_PRIVACY.pdf Home » Offerte di lavoro e graduatorie » 2 MMG Grad PROVVISORIA 2025 PUNTEGGIO+ALFAB PRIVACY pdf 2 MMG Grad PROVVISORIA 2025 PUNTEGGIO+ALFAB PRIVACY Pubblicato il 30 Settembre 2024 Di presidenza omceo 439 download Scarica (pdf, 433 KB) 2. MMG_Grad PROVVISORIA 2025_PUNTEGGIO+ALFAB_PRIVACY.pdf Home » Offerte di lavoro e graduatorie » 2 PLS Grad PROVVISORIA 2025 ALF PUNTEGGIO PRIVACY pdf 2 PLS Grad PROVVISORIA 2025 ALF PUNTEGGIO PRIVACY Pubblicato il 30 Settembre 2024 Di presidenza omceo 419 download Scarica (pdf, 418 KB) 2. PLS_Grad PROVVISORIA 2025_ALF PUNTEGGIO_PRIVACY.pdf Home » Offerte di lavoro e graduatorie » 3 MMG Esclusi Grad PROVVISORIA 2025 pdf 3 MMG Esclusi Grad PROVVISORIA 2025 Pubblicato il 30 Settembre 2024 Di presidenza omceo 436 download Scarica (pdf, 416 KB) 3. MMG_Esclusi Grad PROVVISORIA 2025.pdf Home » Offerte di lavoro e graduatorie » 3 PLS Esclusi Grad PROVVISORIA 2025 pdf 3 PLS Esclusi Grad PROVVISORIA 2025 Pubblicato il 30 Settembre 2024 Di presidenza omceo 433 download Scarica (pdf, 413 KB) 3. PLS_Esclusi Grad. PROVVISORIA 2025.pdf Home » Offerte di lavoro e graduatorie » COMUNICATO Grad PROVVISORIA MMG 2025 signed pdf COMUNICATO Grad PROVVISORIA MMG 2025 signed Pubblicato il 30 Settembre 2024 Di presidenza omceo 448 download Scarica (pdf, 565 KB) COMUNICATO_Grad PROVVISORIA MMG 2025_signed.pdf Home » Offerte di lavoro e graduatorie » COMUNICATO Grad PROVVISORIA PLS 2025 signed pdf COMUNICATO Grad PROVVISORIA PLS 2025 signed Pubblicato il 30 Settembre 2024 Di presidenza omceo 452 download Scarica (pdf, 567 KB) COMUNICATO_Grad PROVVISORIA PLS 2025_signed.pdf Home » Offerte di lavoro e graduatorie » Istanza riesame Grad Provv MMG 2025 pdf Istanza riesame Grad Provv MMG 2025 Pubblicato il 30 Settembre 2024 Di presidenza omceo 341 download Scarica (pdf, 333 KB) Istanza riesame_Grad. Provv. MMG_2025.pdf Home » Offerte di lavoro e graduatorie » Istanza riesame Grad Provv PLS 2025 pdf Istanza riesame Grad Provv PLS 2025 Pubblicato il 30 Settembre 2024 Di presidenza omceo 796 download Scarica (pdf, 336 KB) Istanza riesame_Grad. Provv. PLS_2025.pdf